반응형
SMALL
2차원에서의 두 물체의 질량 질량 중심)


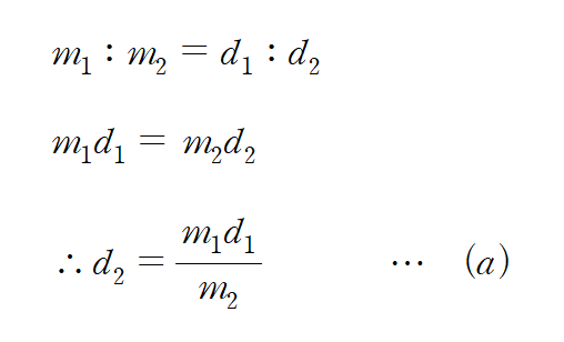
물체1과 2의 질량과 각 물체의 거리에 대한 비례식을 세웁니다.
d2에 대한 식으로 바꾸준 뒤에 물체1과 2간의 거리인 d에 관한식에 (a)를 대입을 해줍니다.
그런 다음 d에대한 식을 다시 d1에 대한 식으로 바꿔준다.


그 후 두 질량의 중심의 위치를 뜻하는 xCM에 대한 식에 나와있는 d1에 위에 우리가 구해 놓았던 d1에 대한 식을 대입하면 두 입자의 질량중심이 나오게 된다. 그렇다면 두 입자의 질량 중심이 아닌 여러개의 입자일 떄는 어떤 식일까?
2차원에서의 다입자의 질량 중심)

반응형
LIST
'Science and Math' 카테고리의 다른 글
| 속도와 속력의 차이점( "인생은 속도가 아니라 방향이다라는 말은 틀린 말" ) (0) | 2021.03.18 |
|---|---|
| 우주에서 방귀 뀌면 어떻게 될까? ※논리 주의 (0) | 2021.03.02 |
| 왜 육상 선수들은 시작 지점이 서로 다를까? (0) | 2021.03.02 |
댓글